2013年12月30日,中國校友會網最新發布《2014中國大學評價研究報告》,這是中國校友會網大學研究團隊連續第12年發布中國大學排行榜。報告顯示,北京大學連續7年蟬聯中國第一,問鼎2014中國大學排行榜100強榜首;清華大學位居第二,上海交通大學躍居第三,比去年上升2個名次,復旦大學屈居第四,武漢大學排名第五,首次進入全國五強,創歷史最高排名。研究團隊提出2014中國大學分類新標準,率先將畢業生質量納入大學分類,35所大學入圍2014中國研究型大學。華中科技大學武昌分校、華中科技大學文華學院和吉林大學珠海學院位居2014中國獨立學院排行榜前三強;湖南涉外經濟學院、北京城市學院和山東英才學院名列2014中國民辦大學排行榜前三甲。值得關注的是,最新發布2014中國大學學科水平排行榜,清華大學排名第一,北京大學名列第二,中國人民大學居第三。
中國科學院大學、中國人民大學憑借在自然科學和人文社會科學領域的超常表現,與北京大學和清華大學共同躋身2014中國頂尖大學,榮膺“中國六星級大學”美譽。上海交通大學、復旦大學、武漢大學、浙江大學和南京大學等23所大學入選2013中國一流大學名單;中國農業大學、北京協和醫學院、中國政法大學、中南財經政法大學和上海財經大學等8所院校入選2014中國一流行業特色型大學,榮膺“中國五星級大學”美譽。在最新發布的2014中國大學畢業生質量排行榜、2014中國大學教師水平排行榜和2014中國最具媒體影響大學排行榜中,北京大學和清華大學蟬聯三榜冠亞軍。
報告顯示,中國大學累計接受校友捐贈金額高達91.59億,全國16所高校躋身中國大學校友捐贈“億元俱樂部”,清華大學創中國大學校友捐贈最高紀錄。在最新發布的2014中國大學校友捐贈排行榜中,清華大學超越北大躍居榜首,校友捐贈13.23億元;北京大學12.93億,屈居第二;中國人民大學7.07億,居第三;浙江大學5.86億,列第四;武漢大學表現最佳,獲校友5.43億捐贈,120周年校慶之年躍居全國五強;另外深圳大學獲校友捐贈2.99億,福州大學校友捐贈2.70億,首次進入全國十強。報告指出,校友工作成效是衡量一流大學辦學水平的重要指標,校友捐贈多少是檢驗一所大學校友認同度、辦學質量和校友工作成效的重要標準。
連續12年發布中國大學排行榜
世界第一個大學排行榜誕生于1983年,由世界著名新聞雜志周刊《美國新聞與世界報道》編制完成。1987年,中國大學評價事業開創者、中國大學排行榜第一人,中央教育科學研究所蔣國華教授等學者在《科技日報》發布中國第一個大學排行榜,至今已有近30年的歷史,全國先后有數十機構和學者發布大學排行榜。自2003年起,中國校友會網(cuaa.net)連續12年與國內多家新聞媒體合作開展中國大學評價研究工作,是我國最早并持續開展大學評價研究的團隊之一,得到了社會各界的廣泛關注和肯定,中國校友會網大學排行榜已成為中國最具特色和影響力的大學排行榜之一,評價結果已成為全國考生高考填報志愿、高校制定發展規劃和教育投資決策的重要參考。
2003年至今12年來,中國校友會網大學研究團隊共發布了中國大學排行榜、中國大學星級排名、中國杰出人文社會科學家研究報告和中國高考狀調查報告等20多項的研究成果;2006年以來,研究團隊發布的有關中國大學評價和教育評價等方面的學術論文數居全國各評價機構首位。中國校友會網大學研究團隊首席專家、中南大學蔡言厚教授指出,研究團隊相關研究成果的結論、數據及觀點得到了人民日報、光明日報、中央電視臺和中國教育電視臺等國內權威主流媒體的廣泛報道、引用和轉載,在我國高等教育評價領域有著廣泛的學術影響力、社會影響力和社會知名度。
省部級獎勵和公益慈善人物納入2014大學排名指標
12年來,中國校友會網大學研究團隊構建起了既符合世界標準又具中國特色、公開透明和客觀公正的大學評價指標體系,評價結果既是對中國大學的辦學實力的綜合選優排序,又是對高校的教書育人、科學研究、社會服務、媒體影響和校友發展等核心辦學指標的重要檢驗。概括起來擁有幾個特點:一、數據權威,其中論文指標數據采用得到國內外學界認可的權威機構論文數據庫統計數據,如美國科技信息所(ISI) 的ESI國際學術論文統計數據、中國科學技術信息研究所的國際和國內學術論文統計數據等。二、高端突出,強調人才培養和科學研究的世界影響、國家貢獻與區域貢獻。三、突出貢獻,指標設計上兼顧國際標準與中國特色,突出社會貢獻與社會影響;四、實現教學與科研、文科與理科、不同類型人才評價指標并重。五、實施分類、分層、分區和分級評價。
與去年相比, 2014年中國大學排行榜評價指標體系的變化較大。中國校友會網大學研究團隊首席專家、中南大學蔡言厚教授指出,最引人關注的是,在科研方面,率先將教育部和各省市區科技獎勵與社科獎勵、中信所最具影響力國際和國內百篇學術論文和2011計劃協同創新中心等納入科研指標。在人才培養指標中,首次將感動中國人物、全國道德模范、中國慈善榜上榜慈善家等公益慈善人物納入杰出校友指標;增設省級優秀博士論文獲獎者等指標;新增設國家“萬人計劃”、何梁何利獎、光華工程科技獎、中國青年科學家和中國青年科技獎等杰出師資指標;將教育部學位中心公布的2012全國學科評估結果引入排行,用于評價大學的學科水平。
北京大學連續7年蟬聯榜首,武漢大學首次進入全國五強
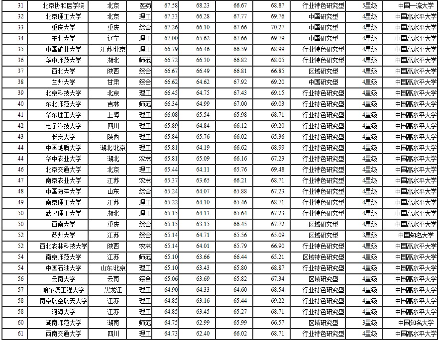
報告顯示,在中國校友會網最新公布的2014中國大學排行榜100強中,北京大學連續7年蟬聯第一,問鼎2014中國大學排行榜榜首;清華大學位居第二;上海交通大學躍居第三,比去年上升2個名次;復旦大學下降一個位次,屈居第四,武漢大學排名第五,首次進入全國五強;浙江大學下降兩位,位居第六;中國人民大學升至第七,比去年上升5個位次;南京大學下降2個名次,名列第八;吉林大學位居第九;中山大學列第十。
名列中國校友會網2014中國大學排行榜前二十的其他大學依次是北京師范大學、華中科技大學、四川大學、中國科學技術大學、南開大學、山東大學、中南大學、西安交通大學、廈門大學、哈爾濱工業大學等。中國校友會網大學研究團隊首席專家、中南大學蔡言厚教授指出,除北大清華的第一第二名之爭外,第三至第十名競爭不再比拼規模指標,而是高端辦學指標PK,是高校師生校友的事業成就、社會貢獻和社會影響的全面對決,比拼的是學校對國家與社會的人才和科學貢獻,能否在辦學中保持相對的領先優勢和辦學特色。
高校需明確辦學定位,大學評價應突出高校的社會貢獻
大學評價對大學發展有著相當的導向和促進作用,大學評價指標所體現出的價值導向,很大程度上影響著一所大學辦學思路和辦學方向。中國校友會網大學研究團隊咨詢專家、上海交通大學邵傳芳教授指出,中國的大學評價者要正確認識并處理好高校學術研究和服務社會的關系,要側重評價高校對國家、行業與區域經濟和社會發展的人才和科學貢獻,突出評價大學的拔尖創新人才培養水平、系統性科學貢獻和社會服務水平。
邵傳芳教授強調指出,高校要成為服務國家戰略、服務經濟社會發展的載體;不同類型、不同層次的高校要明確自身的辦學定位和辦學特色,全國性一流、高水平大學要著眼全國、面向世界;地方性院校要立足地方服務地方,行業性院校要立足行業和地方;在服務國家、服務行業、服務區域、服務社會和全球競爭中提供相應的人才和科技支撐。中國需要能夠沖擊世界一流的綜合性研究型大學,也需要能夠沖擊一流的專業鮮明的大學,還需要在服務地方發展,培養應用型人才方面爭創一流的各類工程技術大學。
武漢大學首次進入全國五強,創歷史最高排名
在2014年中國大學排行榜中,武漢大學表現最為搶眼,首次進入全國五強,創歷史最高排名。中國校友會網大學研究團隊首席專家、中南大學蔡言厚教授指出,120周年校慶之年,武漢大學全體師生校友齊心合力,多項核心辦學指標全國領先。相對而言,部分高校的領先優勢相對減弱,學科評估、科學獎勵、杰出校友、校友捐贈和媒體影響等多項指標被超越或趕上,名次有所回落,需引起有關學校的重視。從評價指標來看,北京師范大學、華中科技大學、四川大學和中國科學技術大學等院校最有實力沖擊中國大學前十強。另外,深圳大學、福建師范大學、首都師范大學、海南大學、西南財經大學和中央財經大學等6所高校進入2014中國大學排行榜100強。
北約、華約、卓越三足鼎立,“不結盟”高校出奇制勝
2014年中國高校的自主招生工作已經陸續展開,生源質量是高校提升人才培養質量的生命線,關乎學校的長遠發展戰略,是一所大學的社會聲譽和核心競爭力的重要體現。中南大學蔡言厚教授指出,自主招生高校中北約聯盟、華約聯盟、卓越聯盟和“不結盟(中國一流大學)”“四大陣營”爭奪戰異常激烈,以復旦大學為首的“不結盟(中國一流大學)”陣營,辦學實力突出、特色鮮明,備受全國優秀考生的青睞,以往“三足鼎立”格局受到挑戰。研究團隊特別對全國自主招生高校中“北約聯盟”、“華約聯盟”、“卓越聯盟”和“不結盟”等高校陣營的排名情況進行整理,并公布2014中國自主招生各大聯盟大學排名情況,為2014年參加自主招生考試的考生及其家長挑選大學提供參考。




更多精彩資訊請關注查字典資訊網,我們將持續為您更新最新資訊!